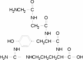
Gly-Gly-Tyr-Arg

CAS Number70195-20-9
FormulaC19H29N7O6
Mol. Weight451.48 g/mol
Gly-Gly-Tyr-Arg
What is Gly-Gly-Tyr-Arg?
Gly-Gly-Tyr-Arg is a chemical compound with CAS number 70195-20-9 and molecular formula C19H29N7O6. It is used in various industrial and research applications.
Applications
Useful for affinity chromatography.
Specifications
Molecular Weight
451.48 g/mol
Assay/Purity
≥97% (HPLC)
