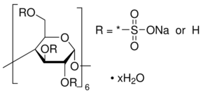
α-Cyclodextrin, sulfated sodium salt hydrate

CAS Number699020-02-5
FormulaN/A
α-Cyclodextrin, sulfated sodium salt hydrate
What is α-Cyclodextrin, sulfated sodium salt hydrate?
α-Cyclodextrin, sulfated sodium salt hydrate is a chemical compound with CAS number 699020-02-5. It is used in various industrial and research applications.
