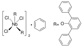
Bis(2,6-diphenylphenoxy)niobium(V) chloride, benzene complex (2:1)

CAS Number699012-35-6
FormulaN/A
Mol. Weight1025.44 g/mol
Bis(2,6-diphenylphenoxy)niobium(V) chloride, benzene complex (2:1)
What is Bis(2,6-diphenylphenoxy)niobium(V) chloride, benzene complex (2:1)?
Bis(2,6-diphenylphenoxy)niobium(V) chloride, benzene complex (2:1) is a chemical compound with CAS number 699012-35-6. It is used in various industrial and research applications.
Specifications
Molecular Weight
1025.44 g/mol
Safety Information
GHS05
GHS08Signal Word
Danger
Hazard Statements
H314-H340-H350-H373
Precautionary Statements
P201-P280-P305 + P351 + P338-P310
Required PPE
Eyeshields, Faceshields, Gloves, type P2 (EN 143) respirator cartridges
WGK Germany
3
Frequently Asked Questions
Alternative Names & Synonyms
699012-35-6, C42H58Cl6Nb2O4
