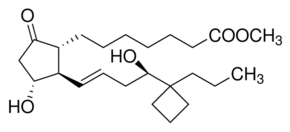
(R)-Butaprost

CAS Number69648-38-0
FormulaC24H40O5
Mol. Weight408.57 g/mol
(R)-Butaprost
What is (R)-Butaprost?
(R)-Butaprost is a chemical compound with CAS number 69648-38-0 and molecular formula C24H40O5. It is used in various industrial and research applications.
Specifications
Molecular Weight
408.57 g/mol
Assay/Purity
≥98% (HPLC)
Solubility
DMSO: freely soluble
ethanol: freely soluble
