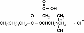
DL-Hexanoylcarnitine chloride

CAS Number6920-35-0
FormulaC13H26NO4Cl
Mol. Weight295.80 g/mol
DL-Hexanoylcarnitine chloride
What is DL-Hexanoylcarnitine chloride?
DL-Hexanoylcarnitine chloride is a chemical compound with CAS number 6920-35-0 and molecular formula C13H26NO4Cl. It is used in various industrial and research applications.
Specifications
Linear Formula
C13H26NO4Cl
Molecular Weight
295.80 g/mol
Safety Information
GHS07Signal Word
Warning
Hazard Statements
H302-H317
Precautionary Statements
P280
Required PPE
dust mask type N95 (US), Eyeshields, Faceshields, Gloves
WGK Germany
2
