Palmitoyl-DL-carnitine chloride

CAS Number6865-14-1
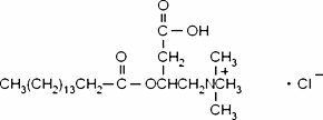
FormulaC23H46NO4 · Cl
Mol. Weight436.07 g/mol
Palmitoyl-DL-carnitine chloride
What is Palmitoyl-DL-carnitine chloride?
Palmitoyl-DL-carnitine chloride is a chemical compound with CAS number 6865-14-1 and molecular formula C23H46NO4 · Cl. It is used in various industrial and research applications.
Specifications
Linear Formula
C23H46NO4 · Cl
Molecular Weight
436.07 g/mol
Solubility
H2O: soluble25 mg/mL (with heat or sonication)
