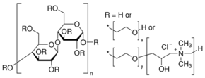
Hydroxyethylcellulose ethoxylate, quaternized

CAS Number68610-92-4
FormulaN/A
Hydroxyethylcellulose ethoxylate, quaternized
What is Hydroxyethylcellulose ethoxylate, quaternized?
Hydroxyethylcellulose ethoxylate, quaternized is a chemical compound with CAS number 68610-92-4. It is used in various industrial and research applications.
Specifications
Safety Information
GHS07Signal Word
Warning
Hazard Statements
H315-H319-H335
Precautionary Statements
P261-P305 + P351 + P338
Required PPE
dust mask type N95 (US), Eyeshields, Gloves
Melting Point
290 °C(lit.)
WGK Germany
3
