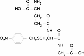
S-(4-Nitrobenzyl)glutathione

CAS Number6803-19-6
FormulaC17H22N4O8S
Mol. Weight442.44 g/mol
S-(4-Nitrobenzyl)glutathione
What is S-(4-Nitrobenzyl)glutathione?
S-(4-Nitrobenzyl)glutathione is a chemical compound with CAS number 6803-19-6 and molecular formula C17H22N4O8S. It is used in various industrial and research applications.
Specifications
Molecular Weight
442.44 g/mol
