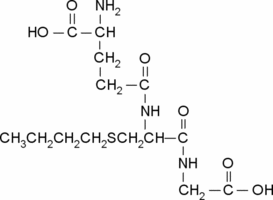
S-Butylglutathione

CAS Number6803-16-3
FormulaC14H25N3O6S
Mol. Weight363.43 g/mol
S-Butylglutathione
What is S-Butylglutathione?
S-Butylglutathione is a chemical compound with CAS number 6803-16-3 and molecular formula C14H25N3O6S. It is used in various industrial and research applications.
Specifications
Molecular Weight
363.43 g/mol
