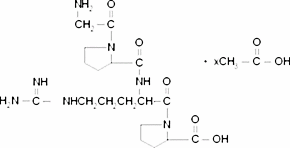
Gly-Pro-Arg-Pro

CAS Number67869-62-9
FormulaC18H31N7O5
Mol. Weight425.48 g/mol
Gly-Pro-Arg-Pro
What is Gly-Pro-Arg-Pro?
Gly-Pro-Arg-Pro is a chemical compound with CAS number 67869-62-9 and molecular formula C18H31N7O5. It is used in various industrial and research applications.
Specifications
Molecular Weight
425.48 g/mol
Assay/Purity
≥97% (HPLC)
