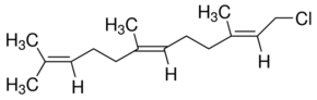
trans,trans-Farnesyl chloride

CAS Number67023-84-1
FormulaN/A
Mol. Weight240.81 g/mol
trans,trans-Farnesyl chloride
What is trans,trans-Farnesyl chloride?
trans,trans-Farnesyl chloride is a chemical compound with CAS number 67023-84-1. It is used in various industrial and research applications.
Specifications
Linear Formula
(CH3)2C=CH[CH2CH2C(CH3)=CH]2CH2Cl
Molecular Weight
240.81 g/mol
Assay/Purity
97%
Boiling Point
59-60 °C/2.4 mmHg(lit.)
Density
0.916 g/mL at 25 °C(lit.)
Safety Information
GHS07Signal Word
Warning
Hazard Statements
H315-H319-H335
Precautionary Statements
P261-P305 + P351 + P338
WGK Germany
3
Frequently Asked Questions
Alternative Names & Synonyms
(CH3)2C=CH[CH2CH2C(CH3)=CH]2CH2Cl
