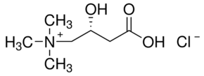
L-Carnitine hydrochloride

CAS Number6645-46-1
FormulaN/A
Mol. Weight197.66 g/mol
L-Carnitine hydrochloride
What is L-Carnitine hydrochloride?
L-Carnitine hydrochloride is a chemical compound with CAS number 6645-46-1. It is used in various industrial and research applications.
Specifications
Linear Formula
(CH3)3N+CH2CH(OH)CH2CO2H · Cl-
Molecular Weight
197.66 g/mol
Assay/Purity
≥97%
Safety Information
GHS07Signal Word
Warning
Hazard Statements
H315-H319-H335
Precautionary Statements
P261-P305 + P351 + P338
Required PPE
dust mask type N95 (US), Eyeshields, Gloves
EC Number
229-663-6
WGK Germany
2
