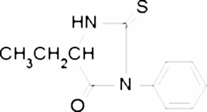
PTH-α-aminobutyric acid

CAS Number66256-32-4
FormulaC11H12N2OS
Mol. Weight220.29 g/mol
PTH-α-aminobutyric acid
What is PTH-α-aminobutyric acid?
PTH-α-aminobutyric acid is a chemical compound with CAS number 66256-32-4 and molecular formula C11H12N2OS. It is used in various industrial and research applications.
Specifications
Molecular Weight
220.29 g/mol
