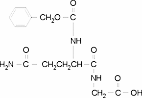
Z-Gln-Gly

CAS Number6610-42-0
FormulaC15H19N3O6
Mol. Weight337.33 g/mol
Z-Gln-Gly
What is Z-Gln-Gly?
Z-Gln-Gly is a chemical compound with CAS number 6610-42-0 and molecular formula C15H19N3O6. It is used in various industrial and research applications.
Applications
γ-Glutamyl donor substrate used in spectrophotometric determination of transglutaminase (TGase) activity.1,2 Z-Gln-Gly was used to enzymatically synthesize N-linked neoglycoproteins.3
Specifications
Molecular Weight
337.33 g/mol
