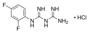
1-(2,4-Difluorophenyl)biguanide hydrochloride

CAS Number66088-52-6
FormulaN/A
Mol. Weight249.65 g/mol
1-(2,4-Difluorophenyl)biguanide hydrochloride
What is 1-(2,4-Difluorophenyl)biguanide hydrochloride?
1-(2,4-Difluorophenyl)biguanide hydrochloride is a chemical compound with CAS number 66088-52-6. It is used in various industrial and research applications.
Specifications
Linear Formula
F2C6H3NHCNHNHCNHNH2 · HCl
Molecular Weight
249.65 g/mol
Assay/Purity
97%
Safety Information
GHS07Signal Word
Warning
Hazard Statements
H315-H319-H335
Precautionary Statements
P261-P305 + P351 + P338
Required PPE
dust mask type N95 (US), Eyeshields, Gloves
Melting Point
215-219 °C(lit.)
WGK Germany
3
Frequently Asked Questions
Alternative Names & Synonyms
F2C6H3NHCNHNHCNHNH2 · HCl
