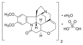
Brucine sulfate salt hydrate

CAS Number652154-10-4
FormulaN/A
Mol. Weight443.50 (anhydrous basis) g/mol
Brucine sulfate salt hydrate
What is Brucine sulfate salt hydrate?
Brucine sulfate salt hydrate is a chemical compound with CAS number 652154-10-4. It is used in various industrial and research applications.
Specifications
Linear Formula
(C23H26N2O4)2 · H2SO4
Molecular Weight
443.50 (anhydrous basis) g/mol
Safety Information
GHS06Signal Word
Danger
Hazard Statements
H300-H330-H412
Precautionary Statements
P260-P264-P273-P284-P310
Required PPE
Eyeshields, Faceshields, full-face particle respirator type N100 (US), Gloves, respirator cartridge type N100 (US), type P1 (EN143) respirator filter, type P3 (EN 143) respirator cartridges
Melting Point
~185 °C (dec.)(lit.)
EC Number
225-432-9
WGK Germany
3
