Titanium(IV) bis(ammonium lactato)dihydroxide solution

CAS Number65104-06-5
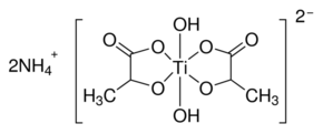
Formula[CH3CH(O-)CO2NH4]2Ti(OH)2
Mol. Weight294.08 g/mol
Titanium(IV) bis(ammonium lactato)dihydroxide solution
What is Titanium(IV) bis(ammonium lactato)dihydroxide solution?
Titanium(IV) bis(ammonium lactato)dihydroxide solution is a chemical compound with CAS number 65104-06-5 and molecular formula [CH3CH(O-)CO2NH4]2Ti(OH)2. It is used in various industrial and research applications.
Specifications
Linear Formula
[CH3CH(O-)CO2NH4]2Ti(OH)2
Molecular Weight
294.08 g/mol
Density
1.222 g/mL at 25 °C
Safety Information
GHS02
GHS07Signal Word
Warning
Hazard Statements
H226-H319
Precautionary Statements
P305 + P351 + P338
WGK Germany
3
