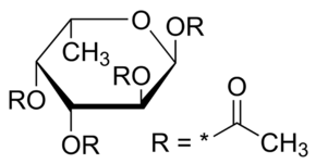
1,2,3,4-Tetra-O-acetyl-α-L-fucopyranose

CAS Number64913-16-2
Formula3
Mol. Weight332.30 g/mol
1,2,3,4-Tetra-O-acetyl-α-L-fucopyranose
What is 1,2,3,4-Tetra-O-acetyl-α-L-fucopyranose?
1,2,3,4-Tetra-O-acetyl-α-L-fucopyranose is a chemical compound with CAS number 64913-16-2 and molecular formula 3. It is used in various industrial and research applications.
Specifications
Molecular Weight
332.30 g/mol
Assay/Purity
95%
Frequently Asked Questions
Alternative Names & Synonyms
4-Tetra-O-acetyl-α-L-fucopyranose,64913-16-2, C14H20O9
