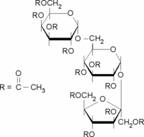
Raffinose undecaacetate

CAS Number6424-12-0
FormulaC40H54O27
Mol. Weight966.84 g/mol
Raffinose undecaacetate
What is Raffinose undecaacetate?
Raffinose undecaacetate is a chemical compound with CAS number 6424-12-0 and molecular formula C40H54O27. It is used in various industrial and research applications.
Specifications
Molecular Weight
966.84 g/mol
