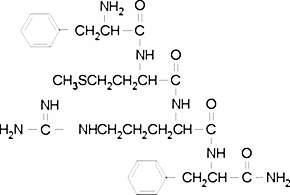
Phe-Met-Arg-Phe amide

CAS Number64190-70-1
FormulaC29H42N8O4S
Mol. Weight598.76 g/mol
Phe-Met-Arg-Phe amide
What is Phe-Met-Arg-Phe amide?
Phe-Met-Arg-Phe amide is a chemical compound with CAS number 64190-70-1 and molecular formula C29H42N8O4S. It is used in various industrial and research applications.
Specifications
Molecular Weight
598.76 g/mol
Assay/Purity
≥95% (HPLC)
