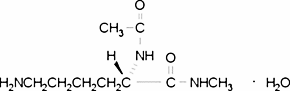
Nα-Acetyl-L-lysine-N-methylamide

CAS Number6367-10-8
FormulaC9H19N3O2
Mol. Weight201.27 g/mol
Nα-Acetyl-L-lysine-N-methylamide
What is Nα-Acetyl-L-lysine-N-methylamide?
Nα-Acetyl-L-lysine-N-methylamide is a chemical compound with CAS number 6367-10-8 and molecular formula C9H19N3O2. It is used in various industrial and research applications.
Specifications
Molecular Weight
201.27 g/mol
