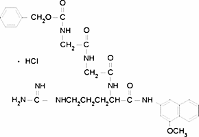
Z-Gly-Gly-Arg 4-methoxy-β-naphthylamide hydrochloride

CAS Number63424-41-9
FormulaC29H35N7O6 · HCl
Mol. Weight614.09 g/mol
Z-Gly-Gly-Arg 4-methoxy-β-naphthylamide hydrochloride
What is Z-Gly-Gly-Arg 4-methoxy-β-naphthylamide hydrochloride?
Z-Gly-Gly-Arg 4-methoxy-β-naphthylamide hydrochloride is a chemical compound with CAS number 63424-41-9 and molecular formula C29H35N7O6 · HCl. It is used in various industrial and research applications.
Specifications
Molecular Weight
614.09 g/mol
Safety Information
GHS08Signal Word
Warning
Hazard Statements
H351
Precautionary Statements
P281
Required PPE
Eyeshields, full-face particle respirator type N100 (US), Gloves, respirator cartridge type N100 (US), type P1 (EN143) respirator filter, type P3 (EN 143) respirator cartridges
WGK Germany
3
