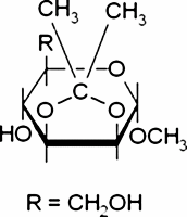
Methyl 2,3-O-isopropylidene-α-D-mannopyranoside

CAS Number63167-69-1
FormulaN/A
Mol. Weight234.25 g/mol
Methyl 2,3-O-isopropylidene-α-D-mannopyranoside
What is Methyl 2,3-O-isopropylidene-α-D-mannopyranoside?
Methyl 2,3-O-isopropylidene-α-D-mannopyranoside is a chemical compound with CAS number 63167-69-1. It is used in various industrial and research applications.
Specifications
Molecular Weight
234.25 g/mol
Assay/Purity
~98%
Frequently Asked Questions
Alternative Names & Synonyms
C10H18O6
