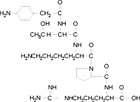
4-Aminophenylacetyl-Tuftsin

CAS Number63147-94-4
FormulaC29H47N9O7
Mol. Weight633.74 g/mol
4-Aminophenylacetyl-Tuftsin
What is 4-Aminophenylacetyl-Tuftsin?
4-Aminophenylacetyl-Tuftsin is a chemical compound with CAS number 63147-94-4 and molecular formula C29H47N9O7. It is used in various industrial and research applications.
Specifications
Molecular Weight
633.74 g/mol
Assay/Purity
≥97% (HPLC)
