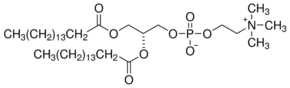
1,2-Dipalmitoyl-sn-glycero-3-phosphocholine

CAS Number63-89-8
FormulaN/A
Mol. Weight734.04 g/mol
1,2-Dipalmitoyl-sn-glycero-3-phosphocholine
What is 1,2-Dipalmitoyl-sn-glycero-3-phosphocholine?
1,2-Dipalmitoyl-sn-glycero-3-phosphocholine is a chemical compound with CAS number 63-89-8. It is used in various industrial and research applications.
Specifications
Molecular Weight
734.04 g/mol
Assay/Purity
≥99% (TLC)
Frequently Asked Questions
Alternative Names & Synonyms
C40H80NO8P
