N-Palmitoyl-D-sphingomyelin semisynthetic from bovine brain sphingomyelin

CAS Number6254-89-3
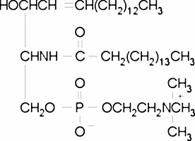
FormulaC39H79N2O6P
Mol. Weight703.03 g/mol
N-Palmitoyl-D-sphingomyelin semisynthetic from bovine brain sphingomyelin
What is N-Palmitoyl-D-sphingomyelin semisynthetic from bovine brain sphingomyelin?
N-Palmitoyl-D-sphingomyelin semisynthetic from bovine brain sphingomyelin is a chemical compound with CAS number 6254-89-3 and molecular formula C39H79N2O6P. It is used in various industrial and research applications.
Specifications
Molecular Weight
703.03 g/mol
Assay/Purity
~97%
