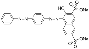
Ponceau SS

CAS Number6226-78-4
FormulaC22H14N4Na2O7S2
Mol. Weight556.48 g/mol
Ponceau SS
What is Ponceau SS?
Ponceau SS is a chemical compound with CAS number 6226-78-4 and molecular formula C22H14N4Na2O7S2. It is used in various industrial and research applications.
Specifications
Molecular Weight
556.48 g/mol
Colour Index Number
27190
