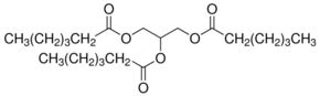
Glycerol trihexanoate

CAS Number621-70-5
FormulaN/A
Mol. Weight386.52 g/mol
Glycerol trihexanoate
What is Glycerol trihexanoate?
Glycerol trihexanoate is a chemical compound with CAS number 621-70-5. It is used in various industrial and research applications.
Specifications
Linear Formula
[CH3(CH2)4COOCH2]2CHOCO(CH2)4CH3
Molecular Weight
386.52 g/mol
Grade
puriss.
Assay/Purity
≥99.0% (GC)
Density
0.98 g/mL(lit.)
