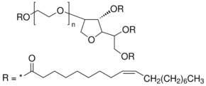
Poly(ethylene glycol) sorbitan tetraoleate

CAS Number61723-83-9
FormulaN/A
Poly(ethylene glycol) sorbitan tetraoleate
What is Poly(ethylene glycol) sorbitan tetraoleate?
Poly(ethylene glycol) sorbitan tetraoleate is a chemical compound with CAS number 61723-83-9. It is used in various industrial and research applications.
Specifications
Boiling Point
>100 °C(lit.)
Density
1 g/mL at 25 °C(lit.)
Solubility
propylene glycol: insoluble
