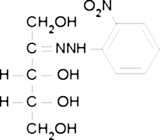
D-Ribulose o-nitrophenylhydrazone

CAS Number6155-41-5
FormulaC11H15N3O6
Mol. Weight285.25 g/mol
D-Ribulose o-nitrophenylhydrazone
What is D-Ribulose o-nitrophenylhydrazone?
D-Ribulose o-nitrophenylhydrazone is a chemical compound with CAS number 6155-41-5 and molecular formula C11H15N3O6. It is used in various industrial and research applications.
Specifications
Molecular Weight
285.25 g/mol
