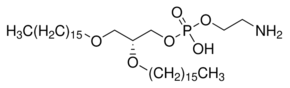
1,2-Dihexadecyl-sn-glycero-3-phosphoethanolamine

CAS Number61423-61-8
FormulaN/A
Mol. Weight663.99 g/mol
1,2-Dihexadecyl-sn-glycero-3-phosphoethanolamine
What is 1,2-Dihexadecyl-sn-glycero-3-phosphoethanolamine?
1,2-Dihexadecyl-sn-glycero-3-phosphoethanolamine is a chemical compound with CAS number 61423-61-8. It is used in various industrial and research applications.
Specifications
Molecular Weight
663.99 g/mol
Assay/Purity
≥99.0% (TLC)
Frequently Asked Questions
Alternative Names & Synonyms
C37H78NO6P
