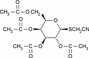
Cyanomethyl 2,3,4,6-tetra-O-acetyl-1-thio-β-D-galactopyranoside

CAS Number61145-33-3
Formula4
Mol. Weight403.40 g/mol
Cyanomethyl 2,3,4,6-tetra-O-acetyl-1-thio-β-D-galactopyranoside
What is Cyanomethyl 2,3,4,6-tetra-O-acetyl-1-thio-β-D-galactopyranoside?
Cyanomethyl 2,3,4,6-tetra-O-acetyl-1-thio-β-D-galactopyranoside is a chemical compound with CAS number 61145-33-3 and molecular formula 4. It is used in various industrial and research applications.
Specifications
Molecular Weight
403.40 g/mol
Frequently Asked Questions
Alternative Names & Synonyms
6-tetra-O-acetyl-1-thio-β-D-galactopyranoside,61145-33-3, C16H21NO9S
