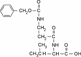
Z-β-Ala-Val

CAS Number61058-48-8
FormulaC16H22N2O5
Mol. Weight322.36 g/mol
Z-β-Ala-Val
What is Z-β-Ala-Val?
Z-β-Ala-Val is a chemical compound with CAS number 61058-48-8 and molecular formula C16H22N2O5. It is used in various industrial and research applications.
Specifications
Molecular Weight
322.36 g/mol
