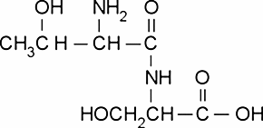
Thr-Ser

CAS Number61043-86-5
FormulaC7H14N2O5
Mol. Weight206.20 g/mol
Thr-Ser
What is Thr-Ser?
Thr-Ser is a chemical compound with CAS number 61043-86-5 and molecular formula C7H14N2O5. It is used in various industrial and research applications.
Specifications
Molecular Weight
206.20 g/mol
