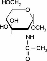
Methyl N-acetyl-α-D-glucosaminide

CAS Number6082-04-8
FormulaC9H17NO6
Mol. Weight235.23 g/mol
Methyl N-acetyl-α-D-glucosaminide
What is Methyl N-acetyl-α-D-glucosaminide?
Methyl N-acetyl-α-D-glucosaminide is a chemical compound with CAS number 6082-04-8 and molecular formula C9H17NO6. It is used in various industrial and research applications.
Specifications
Molecular Weight
235.23 g/mol
