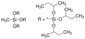
Methyltris(tri-sec-butoxysilyloxy)silane

CAS Number60711-47-9
FormulaCH3Si[OSi[OCH(CH3)C2H5]3]3
Mol. Weight833.40 g/mol
Methyltris(tri-sec-butoxysilyloxy)silane
What is Methyltris(tri-sec-butoxysilyloxy)silane?
Methyltris(tri-sec-butoxysilyloxy)silane is a chemical compound with CAS number 60711-47-9 and molecular formula CH3Si[OSi[OCH(CH3)C2H5]3]3. It is used in various industrial and research applications.
Specifications
Linear Formula
CH3Si[OSi[OCH(CH3)C2H5]3]3
Molecular Weight
833.40 g/mol
Assay/Purity
97%
Boiling Point
190 °C/1 mmHg(lit.)
Density
0.962 g/mL at 25 °C(lit.)
Safety Information
GHS07Signal Word
Warning
Hazard Statements
H315-H319-H335
Precautionary Statements
P261-P305 + P351 + P338
Required PPE
Eyeshields, full-face respirator (US), Gloves, multi-purpose combination respirator cartridge (US), type ABEK (EN14387) respirator filter
WGK Germany
3
