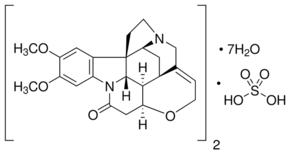
Brucine sulfate heptahydrate

CAS Number60583-39-3
FormulaN/A
Mol. Weight1013.11 g/mol
Brucine sulfate heptahydrate
What is Brucine sulfate heptahydrate?
Brucine sulfate heptahydrate is a chemical compound with CAS number 60583-39-3. It is used in various industrial and research applications.
Specifications
Linear Formula
(C23H26N2O4)2 · H2SO4 · 7H2O
Molecular Weight
1013.11 g/mol
Grade
ACS reagent
Safety Information
GHS06Signal Word
Danger
Hazard Statements
H300 + H330-H412
Precautionary Statements
P260-P264-P273-P284-P301 + P310-P310
Melting Point
180 °C (dec.)(lit.)
Ignition Residue
≤0.1%
EC Number
225-432-9
WGK Germany
3
