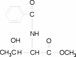
N-Benzoyl-D-threonine methyl ester

CAS Number60538-16-1
FormulaC12H15NO4
Mol. Weight237.25 g/mol
N-Benzoyl-D-threonine methyl ester
What is N-Benzoyl-D-threonine methyl ester?
N-Benzoyl-D-threonine methyl ester is a chemical compound with CAS number 60538-16-1 and molecular formula C12H15NO4. It is used in various industrial and research applications.
Specifications
Molecular Weight
237.25 g/mol
