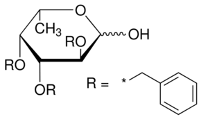
2,3,4-Tri-O-benzyl-L-fucopyranose

CAS Number60431-34-7
FormulaN/A
Mol. Weight434.52 g/mol
2,3,4-Tri-O-benzyl-L-fucopyranose
What is 2,3,4-Tri-O-benzyl-L-fucopyranose?
2,3,4-Tri-O-benzyl-L-fucopyranose is a chemical compound with CAS number 60431-34-7. It is used in various industrial and research applications.
Specifications
Molecular Weight
434.52 g/mol
Assay/Purity
≥98.0% (HPLC)
Frequently Asked Questions
Alternative Names & Synonyms
60431-34-7, C27H30O5
