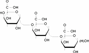
Trigalacturonic acid

CAS Number6037-45-2
FormulaC18H26O19
Mol. Weight546.39 g/mol
Trigalacturonic acid
What is Trigalacturonic acid?
Trigalacturonic acid is a chemical compound with CAS number 6037-45-2 and molecular formula C18H26O19. It is used in various industrial and research applications.
Specifications
Molecular Weight
546.39 g/mol
Assay/Purity
≥90% (HPLC)
