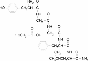
Leucine enkephalinamide acetate salt

CAS Number60117-24-0
FormulaC28H38N6O6
Mol. Weight554.64 g/mol
Leucine enkephalinamide acetate salt
What is Leucine enkephalinamide acetate salt?
Leucine enkephalinamide acetate salt is a chemical compound with CAS number 60117-24-0 and molecular formula C28H38N6O6. It is used in various industrial and research applications.
Specifications
Molecular Weight
554.64 g/mol
Assay/Purity
≥97% (HPLC)
