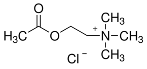
Acetylcholine chloride

CAS Number60-31-1
FormulaN/A
Mol. Weight181.66 g/mol
Acetylcholine chloride
What is Acetylcholine chloride?
Acetylcholine chloride is a chemical compound with CAS number 60-31-1. It is used in various industrial and research applications.
Specifications
Linear Formula
(CH3)3N+CH2CH2OCOCH3Cl-
Molecular Weight
181.66 g/mol
Assay/Purity
≥99% (TLC)
Solubility
H2O: soluble100 mg/mL
Safety Information
GHS07Signal Word
Warning
Hazard Statements
H315-H319-H335
Precautionary Statements
P261-P305 + P351 + P338
Required PPE
dust mask type N95 (US), Eyeshields, Gloves
Melting Point
146-150 °C(lit.)
EC Number
200-468-8
WGK Germany
2
