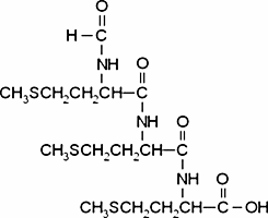
N-Formyl-Met-Met-Met

CAS Number59881-03-7
FormulaC16H29N3O5S3
Mol. Weight439.61 g/mol
N-Formyl-Met-Met-Met
What is N-Formyl-Met-Met-Met?
N-Formyl-Met-Met-Met is a chemical compound with CAS number 59881-03-7 and molecular formula C16H29N3O5S3. It is used in various industrial and research applications.
Specifications
Molecular Weight
439.61 g/mol
Assay/Purity
≥97% (TLC)
