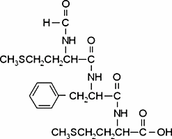
N-Formyl-Met-Phe-Met

CAS Number59881-02-6
FormulaC20H29N3O5S2
Mol. Weight455.59 g/mol
N-Formyl-Met-Phe-Met
What is N-Formyl-Met-Phe-Met?
N-Formyl-Met-Phe-Met is a chemical compound with CAS number 59881-02-6 and molecular formula C20H29N3O5S2. It is used in various industrial and research applications.
Specifications
Molecular Weight
455.59 g/mol
Assay/Purity
≥97% (TLC)
