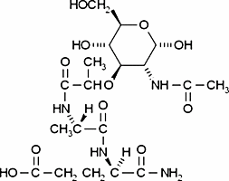
N-Acetylmuramyl-L-alanyl-L-isoglutamine

CAS Number59331-38-3
FormulaC19H32N4O11
Mol. Weight492.48 g/mol
N-Acetylmuramyl-L-alanyl-L-isoglutamine
What is N-Acetylmuramyl-L-alanyl-L-isoglutamine?
N-Acetylmuramyl-L-alanyl-L-isoglutamine is a chemical compound with CAS number 59331-38-3 and molecular formula C19H32N4O11. It is used in various industrial and research applications.
Specifications
Molecular Weight
492.48 g/mol
