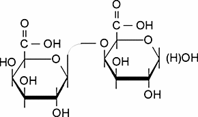
Digalacturonic acid

CAS Number5894-59-7
FormulaC12H18O13
Mol. Weight370.26 g/mol
Digalacturonic acid
What is Digalacturonic acid?
Digalacturonic acid is a chemical compound with CAS number 5894-59-7 and molecular formula C12H18O13. It is used in various industrial and research applications.
Specifications
Molecular Weight
370.26 g/mol
Assay/Purity
≥85% (HPLC)
