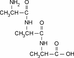
D-Ala-Ala-Ala

CAS Number5874-89-5
FormulaC9H17N3O4
Mol. Weight231.25 g/mol
D-Ala-Ala-Ala
What is D-Ala-Ala-Ala?
D-Ala-Ala-Ala is a chemical compound with CAS number 5874-89-5 and molecular formula C9H17N3O4. It is used in various industrial and research applications.
Specifications
Molecular Weight
231.25 g/mol
