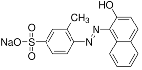
Acid Orange 8

CAS Number5850-86-2
FormulaC17H13N2NaO4S
Mol. Weight364.35 g/mol
Acid Orange 8
What is Acid Orange 8?
Acid Orange 8 is a chemical compound with CAS number 5850-86-2 and molecular formula C17H13N2NaO4S. It is used in various industrial and research applications.
Specifications
Molecular Weight
364.35 g/mol
Colour Index Number
15575
