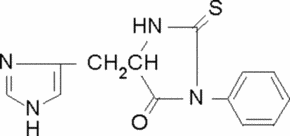
PTH-histidine

CAS Number5835-68-7
FormulaC13H12N4OS
Mol. Weight272.33 g/mol
PTH-histidine
What is PTH-histidine?
PTH-histidine is a chemical compound with CAS number 5835-68-7 and molecular formula C13H12N4OS. It is used in various industrial and research applications.
Specifications
Molecular Weight
272.33 g/mol
