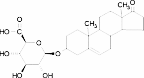
Dehydroisoandrosterone 3-glucuronide

CAS Number5716-14-3
FormulaC25H36O8
Mol. Weight464.55 g/mol
Dehydroisoandrosterone 3-glucuronide
What is Dehydroisoandrosterone 3-glucuronide?
Dehydroisoandrosterone 3-glucuronide is a chemical compound with CAS number 5716-14-3 and molecular formula C25H36O8. It is used in various industrial and research applications.
Specifications
Molecular Weight
464.55 g/mol
